上一页】【下一页】【返回目录
§6-3受迫振动 共振
  1.受迫振动
    物体在周期性外力(驱动力)的持续作用下发生的振动称为受迫振动。
    稳定时系统振动的频率 = 驱动力的频率
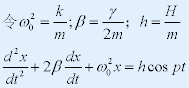
    设驱动力:
        
    阻尼力:
       
       
    
       (图一、受迫振动的周期)
    常系数、二阶、线性、非齐次微分方程
      通解=齐次微分方程的解+非齐次的一个特解
    
      (小阻尼时)其解为:
      
    定态解:
       
    该等幅振动的角频率就是强迫力的频率;这时
       
  2. 共振
       
    讨论:
        较小
        
        较小
 
         若很小,很大。
 
    在弱阻尼即的情况下,当时,系统的振动速度和振幅都达到最大值 -- 共振。
 
  共振:
      
             (图二、小号发出的声波足以使酒杯破碎)
    1940年华盛顿的塔科曼大桥在大风中产生振动(如图三)
 
                         (图三)
    随后在大风中因产生共振而断塌(如图四)
                          (图四)
 
上一页】【下一页】【返回目录
"

科学空间整理"